题目内容
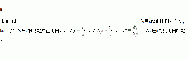
若y与x成正比例,y与z的倒数成正比例,则z是x的( )
A. 正比例函数 B. 反比例函数 C. 二次函数 D. 不能确定
方程组的解中x与y值相等,则k=________.
用适当的符号表示a的2倍与4的差比a的3倍小的关系式( )
A. 2a+4<3a B. 2a-4<3a C. 2a-4≥3a D. 2a+4≤3a
已知y是x的反比例函数,且xy=-8,又知当x=m时,y=-2m,则m的值为________.
如果a为任意实数, 下列各式中一定有意义的是( )
A. B. C. D.
若,则=( )
A. ﹣1 B. 1 C. D.
若,则n=__________.
不等式组的解集是x>2,则m的取值范围是( ).
A. m≤2 B. m≥2 C. m≤1 D. m≥1