题目内容
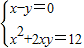
方程组
【答案】分析:用代入法即可解答,把①化为x=y,代入②得:x2+2x2=12,即可求出x的值,再代入①得出y的值即可;
解答:解:
由①得x=y③
把③代入②得:x2+2x2=12,
解得:x1=2,x2=-2,
当x1=2时,y1=2,
x2=-2时,y2=-2,
∴方程组
的解是
;
故答案为:
.
点评:解答此类题目一般用代入法比较简单,先消去一个未知数再解关于另一个未知数的一元二次方程,把求得结果代入一个较简单的方程中即可.
解答:解:
由①得x=y③
把③代入②得:x2+2x2=12,
解得:x1=2,x2=-2,
当x1=2时,y1=2,
x2=-2时,y2=-2,
∴方程组
故答案为:
点评:解答此类题目一般用代入法比较简单,先消去一个未知数再解关于另一个未知数的一元二次方程,把求得结果代入一个较简单的方程中即可.
练习册系列答案
相关题目
方程3x+4y=16与下面哪个方程所组成的方程组的解是
( )
|
A、
| ||
| B、3x-5y=7 | ||
C、
| ||
| D、2(x-y)=3y |
方程2x+3y=11和下列方程构成的方程组的解是
的方程是( )
|
| A、3x+4y=20 |
| B、4x-7y=3 |
| C、2x-7y=1 |
| D、5x-4y=6 |