题目内容
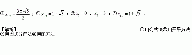
我们已经学习了一元二次方程的四种解法:因式分解法,开平方法,配方法和公式法.请从以下一元二次方程中任选一个,并选择你认为适当的方法解这个方程.
①;②;③;④.
方程2x=3的解是( )
A. x=?
B. x=?
C. x=
D. x=
9的算术平方根是( )
A. ±3 B. ± C. 3 D. ﹣3
如图,OP平分,于点A,点Q是射线OM上一个动点,若,则PQ的最小值为
A. B. 2 C. 3 D. 4
下列图形中,不是轴对称图形的是
A. B. C. D.
解一元二次方程x2+2x-3=0时,可转化为解两个一元一次方程,请写出其中的一个一元一次方程__________.
已知关于x的一元二次方程x2﹣bx+c=0的两根分别为x1=1,x2=﹣2,则b与c的值分别为【 】
A.b=﹣1,c=2 B.b=1,c=﹣2 C.b=1,c=2 D.b=﹣1,c=﹣2
如图,五边形ABCDE中有一正三角形ACD,若AB=DE,BC=AE,∠E=115°,则∠BAE的度数为何?( )
A. 115 B. 120 C. 125 D. 130
一元二次方程(x-5)2=x-5的解是( )
A. x=5 B. x=6 C. x=0 D. x1=5,x2=6