题目内容
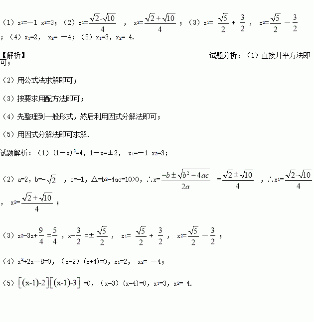
解方程:(1)2(1-x)2-8=0 (2)2x2?x-1=0 (3)x2-3x+1=0(配方法)
(4)(x+3)(x-1)=5. (5) (x-1)2-5(x-1)+6=0
如图,MN=3,以MN为直径的⊙O1,与一个半径为5的⊙O2相切于点M,正方形ABCD的顶点A,B在大圆上,小圆在正方形的外部且与CD切于点N,则正方形ABCD的边长为 ▲ .
计算:(1)24+(-14)+(-16)+8;(3);
(3);(4);
(5);(6)
下列各数中数值相等的是( )
A. 32与23 B. -23与(-2)3 C. -32与(-3)2 D. [-2×(-3)]2与2×(-3)2
已知长方形硬纸板ABCD的长BC为40cm,宽CD为30cm,按如图所示剪掉2个小正方形和2个小长方形(即图中阴影部分),将剩余部分折成一个有盖的长方体盒子,
设剪掉的小正方形边长为xcm.(纸板的厚度忽略不计)
(1)填空:EF= .cm,GH= .cm;(用含x的代数式表示)
(2)若折成的长方体盒子的表面积为950cm2,求该长方体盒子的体积
已知m,n是方程x2-2x-5=0的两个实数根,则m2+2n的值为_______
如图,OA,OB是⊙O的半径,点C在⊙O上,连接AC,BC,若∠A=20°,∠B=70°,则∠ACB的度数为( )
A. 50° B. 55° C. 60° D. 65°
用一个平面去截一个几何体,所得的截面是四边形,则原几何体可能是下列几何体中的 (填序号).
①圆柱;②圆锥;③三棱柱;④三棱锥;⑤圆台;⑥球.
如图1,在△ABC中,∠ACB=90°,BC=2,∠A=30°,点E,F分别是线段BC,AC的中点,连结EF.
(1)= .
(2)如图2,当△CEF绕点C顺时针旋转a时(0°<a<180°),连结AF,BE,求线段BE与线段AF的位置关系和。
(3)如图3,当△CEF绕点C顺时针旋转a时(0°<a<180°),延长FC交AB于点D,如果AD=6﹣2,求旋转角a的度数.