题目内容
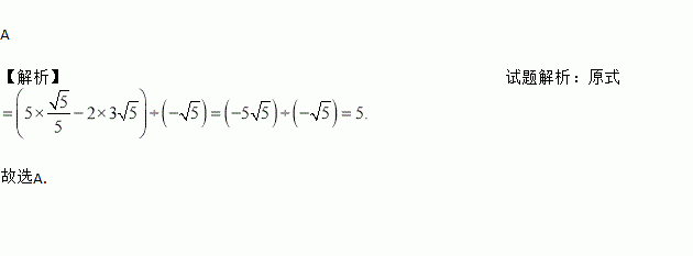
计算的结果为
A. 5 B. C. 7 D.
根据图示填空:
(1)sinB=CD/(___________)=(___________)/AB
(2)cos∠ACD=CD/(___________)
探究活动:
()如图①,可以求出阴影部分的面积是__________.(写成两数平方差的形式)
()如图②,若将阴影部分裁剪下来,重新拼成一个长方形,面积是__________.(写成多项式乘法的形式)
()比较图①、图②阴影部分的面积,可以得到公式__________.
知识应用,运用你所得到的公式解决以下问题:
()计算: .
()若, ,求的值.
计算的结果是( ).
A. B. C. D.
计算
.
如图,边长为acm的正方体其上下底面的对角线AC、A1C1与平面H垂直.
(1)指出正方体六个面在平面H上的正投影图形;
(2)计算投影MNPQ的面积.
由一些大小相同的小正方体搭成的几何体的主视图和俯视图,如图所示,则搭成该几何体的小正方体最多是______个.
观察图,回答问题:
(1)设图形的周长为L,梯形的个数为n,试写出L与n的关系式;
(2)求n=11时图形的周长.
同时使不等式与成立的所有整数积是 ( )
A. 12 B. 3 C. 7 D. 24