题目内容
探究活动:
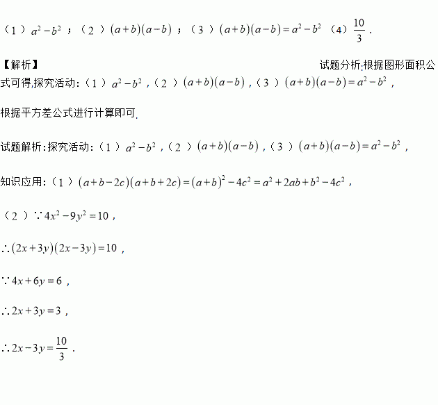
(
)如图①,可以求出阴影部分的面积是__________.(写成两数平方差的形式)
(
)如图②,若将阴影部分裁剪下来,重新拼成一个长方形,面积是__________.(写成多项式乘法的形式)
(
)比较图①、图②阴影部分的面积,可以得到公式__________.
知识应用,运用你所得到的公式解决以下问题:
(
)计算:
.
(
)若
,
,求
的值.
![]()
![]()
练习册系列答案
相关题目
题目内容
探究活动:
(
)如图①,可以求出阴影部分的面积是__________.(写成两数平方差的形式)
(
)如图②,若将阴影部分裁剪下来,重新拼成一个长方形,面积是__________.(写成多项式乘法的形式)
(
)比较图①、图②阴影部分的面积,可以得到公式__________.
知识应用,运用你所得到的公式解决以下问题:
(
)计算:
.
(
)若
,
,求
的值.
![]()
![]()