题目内容
如图,△ABC内接于⊙O,点D在半径OB的延长线上,且∠BCD=∠A=30°。
(1)试判断直线CD与⊙O的位置关系,并说明理由;
(2)若⊙O的半径长为1,求由弧BC、线段CD和BD所围成的阴影部分面积。(结果保留π和根号)
(1)试判断直线CD与⊙O的位置关系,并说明理由;
(2)若⊙O的半径长为1,求由弧BC、线段CD和BD所围成的阴影部分面积。(结果保留π和根号)
![]()
解:(1)直线CD与⊙O相切;
理由如下:在⊙O中,
,
又∵OB=OC,
∴△OBC是正三角形,
∴∠OCB=60°,
又∠BCD=30°,
∴∠OCD=60°+30°=90°,
∴OC⊥CD,
又∵OC是半径,
∴直线CD与⊙O相切;
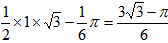
(2)由(1)得△OCD是Rt△,∠COB=60°,
∵OC=1,
∴CD=
,
∵
=
。
理由如下:在⊙O中,
又∵OB=OC,
∴△OBC是正三角形,
∴∠OCB=60°,
又∠BCD=30°,
∴∠OCD=60°+30°=90°,
∴OC⊥CD,
又∵OC是半径,
∴直线CD与⊙O相切;
(2)由(1)得△OCD是Rt△,∠COB=60°,
∵OC=1,
∴CD=
∵
练习册系列答案
相关题目