题目内容
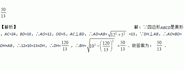
如图,四边形ABCD是菱形,AC=24,BD=10,DH⊥AB于点H,则线段BH的长为______.
若定义:f(a,b)=(-a,b),g(m,n)=(m,-n),例如f(1,2)=(-1,2),g(-4,-5)=(-4,5),则g(f(2,-3))=( )
A. (2,-3) B. (-2,3) C. (2,3) D. (-2,-3)
共享单车被誉为“新四大发明”之一,如图1所示是某公司2017年向信阳市场提供一种共享自行车的实物图,车架档AC与CD的长分别为45cm,60cm,AC⊥CD,座杆CE的长为20cm,点A,C,E在同一条直线上,且∠CAB=75°,如图2.
(1)求车架档AD的长;
(2)求车座点E到车架档AB的距离.(结果精确到1cm,参考数据:sin75°=0.9659,cos75°=0.2588,tan75°=3.7321)
碳纳米管的硬度与金刚石相当,却拥有良好的柔韧性,可以拉伸,我国某物理所研究组已研制出直径为0.5纳米的碳纳米管,1纳米=0.000000001米,则0.5纳米用科学记数法表示为( )
A. 0.5×10–9米 B. 5×10–8米 C. 5×10–9米 D. 5×10–10米
为了参加中考体育测试,甲、乙、丙三位同学进行足球传球训练,球从一个人脚下随机传到另一个人脚下,且每位传球人传给其余两人的机会是均等的,由甲开始传球,共传球三次.
(1)请利用树状图列举出三次传球的所有可能情况;
(2)求三次传球后,球回到甲脚下的概率;
(3)三次传球后,球回到甲脚下的概率大还是传到乙脚下的概率大?
若一组数据1,2,3,4,x的平均数与中位数相同,则实数x的值不可能是( )
A. 0 B. 2.5 C. 3 D. 5
正在修建的黔张常铁路,横跨渝、鄂、湘三省,起于重庆市黔江区黔江站,止于常德市武陵区常德站.铁路规划线路总长340公里,工程估算金额375000000000元.将数据37500000000用科学记数法表示为( )
A.0.375×1011 B.3.75×1011 C.3.75×1010 D.375×108
在实数范围内分解因式:2x2﹣6=_____.
在平面直角坐标系中按下列要求作图.
(1)作出三象限中的小鱼关于x轴的对称图形;
(2)将(1)中得到的图形再向右平移6个单位长度.