题目内容
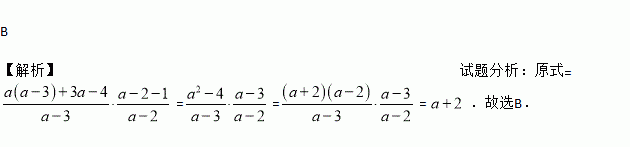
化简:(a+)(1﹣)的结果等于( )
A. a﹣2 B. a+2 C. D.
如图,半圆O的直径AB=2,弦CD∥AB,∠CAD=30°,求阴影部分的面积(结果保留π)
如图,在△ABC中,∠ABC和∠ACB的外角平分线相交于点O,若∠A=50°,则∠BOC= 度.
在﹣2.5、(﹣1)2、2、﹣|﹣0.5|,﹣(﹣3)中,最小的数是a,绝对值最小的数是b.
(1)求(﹣b+a)的值;
(2)求满足关于x的不等式bx<b﹣a的负整数解.
对于两个不相等的实数a、b,我们规定符号Max{a,b}表示a、b中的较大值,如:Max{2,4}=4,按照这个规定,方程Max{x,-x}=的解为( )
A. 1- B. 2- C. 1+或1- D. 1+或-1
下列图形既是轴对称图形又是中心对称图形的是( )
A. B. C. D.
如图,在平面直角坐标系中,一次函数y=kx+b的图象分别交x轴、y轴子A、B两点,与反比例函数y的图象交于C、D两点,DE⊥x轴于点E,已知点C的坐标是(6,-1),DE=3.
(1)求反比例函数与一次函数的关系式;
(2)根据图象直接回答:当x为何值时,一次函数的值大于反比例函数的值?
如图,下列条件:①∠1=∠3,②∠2+∠4=180°,③∠4=∠5,④∠2=∠3,⑤∠6=∠2+∠3中能判断直线的有_________(只填序号).
已知2x(x+1)=x+1,则x=_____.