题目内容
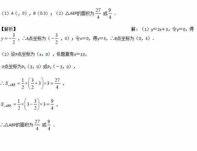
如图,直线y=2x+3与x轴交于点A,与y轴于点B.
(1)求A,B两点的坐标;
(2)过点B过直线BP与x轴交于点P,且OP=2OA,求△ABP的面积.
解下列不等式(组),并把它们的解集在数轴上表示出来:
(1)
(2)
的倒数是( )
A. 2017 B. -2017 C. D.
如图,是一个经过改造的台球桌面的示意图,图中四个角上的阴影部分分别表示四个入球孔,如果一个球按图中所示的方向被击出,该球最后落入1号袋,经过反射的次数是( )
A. 4次 B. 5次 C. 6次 D. 7次
如图,己知E在AC上,D在AB上,且∠C=∠B,则下列条件中,无法判断△ABE≌△ACD的是( )
A. AE=AD B. AC=AB C. CD=EB D. ∠AEB=∠ADC
对于任意不相等的两个数a,b,定义一种运算如下:a※b=,如3※2==,那么7※5=_____.
如果点P(m+3,m+1)在x轴上,则点P的坐标为( )
A. (0,2) B. (2,0) C. (4,0) D. (0,﹣4)
如图,在平面直角坐标系中,抛物线经过平移得到抛物线,其对称轴与两段抛物线所围成的阴影部分的面积为____.
下面计算正确的是( )
A. 4x2+3x2=7x4 B. a+3a2=4a3 C. 8x2-3x2=5 D. 7a2b-7ba2=0