题目内容
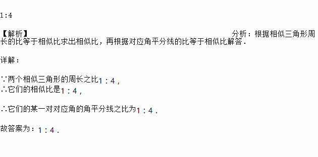
如果两个相似三角形的周长之比1:4,那么它们的某一对对应角的角平分线之比为_____.
我国是一个严重缺水的国家,大家应倍加珍惜水资源,节约用水.据测试,拧不紧的水龙头每秒钟会滴下2滴水,每滴水约0.05毫升.若每天用水时间按2小时计算,那么一天中的另外22小时水龙头都在不断的滴水.请计算,一个拧不紧的水龙头,一个月(按30天计算)浪费水( )
A. 23760毫升 B. 2.376×105毫升
C. 23.8×104毫升 D. 237.6×103毫升
如图,AB∥CD,AE平分∠CAB交CD于点E,若∠C=48°,则∠AED为 °.
如图,AB∥CD∥EF,而且线段AB、CD、EF的长度分别为5、3、2.
(1)求AC:CE的值;
(2)如果记作,记作,求(用、表示).
如图,四边形ABCD、CDEF、EFGH都是正方形,则tan∠CAF=_____.
已知、为非零向量,下列判断错误的是( )
A. 如果=2,那么∥ B. 如果||=||,那么=或=﹣
C. 的方向不确定,大小为0 D. 如果为单位向量且=2,那么||=2
如图,在△ABC中,∠C=90°,∠B=30°,AD是△ABC的角平分线,DE∥BA交AC于点E,DF∥CA交AB于点F,已知CD=3.
(1)求AD的长;
(2)求四边形AEDF的周长.(注意:本题中的计算过程和结果均保留根号)
下列说法不正确的是( )
A. 1的平方根是±1 B. ﹣1的立方根是﹣1
C. 的算术平方根是2 D. 是最简二次根式
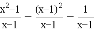
化简正确的是( )
A. B.
C. D.