题目内容
如图,直线l:与轴交于点A,将直线l绕点A顺时针旋转75º后,所得直线的解析式为( )
A. B.
C. D.
把直线y=-x+2向上平移a个单位后,与直线y=2x+3的交点在第二象限,则a的取值范围是( )
A. a>1 B. <a<0 C. <a<1 D. a<1
若关于x的一元二次方程x2+4x+k﹣1=0有实数根,则k的取值范围是____.
如图,点E是正方形ABCD边BC延长线上的一点,且CE=AC,求∠E的度数.
如图,菱形ABCD中,对角线AC与BD相交于点O,且AC=8,BD=6,则菱形ABCD的高DH= .
随机抛掷两枚硬币,落地后全部正面朝上的概率是( )
A. 1 B. C. D.
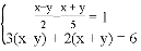
解方程组:
下列四个命题中:
①在同一平面内,互相垂直的两条直线一定相交
②有且只有一条直线垂直于已知直线
③两条直线被第三条直线所截,同位角相等
④从直线外一点到这条直线的垂线段,叫做这点到这条直线的距离.
其中真命题的个数为( )
A. 1个 B. 2 个 C. 3个 D. 4个
在频数分布直方图中,各小长方形的高等于相应组的( )
A. 组距 B. 组数 C. 频数 D. 频率