题目内容
若,则k的值为( )
A. 2 B. -1 C. 2或-1 D. -2或1
如图,在平面直角坐标系xOy中,已知点A( ,0),B(1,1).若平移点A到点C,使以点O,A,C,B为顶点的四边形是菱形,则正确的平移方法是( )
A. 向左平移1个单位,再向下平移1个单位
B. 向左平移(2﹣1)个单位,再向上平移1个单位
C. 向右平移个单位,再向上平移1个单位
D. 向右平移1个单位,再向上平移1个单位
绝对值不大于5的所有整数的和是 ,积是 。
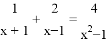
解下列分式方程.
(1) (2)
(3) (4)
已知,则的值是____________
小明同学发现自己的一本书的宽与长之比为黄金比.已知这本书的长为20cm,则它的宽约为( )
A.12.36cmB.13.6cmC.32.36cmD.7.64cm
如图,CE=CB,CD=CA,∠DCA=∠ECB,求证:DE=AB.
点A(a,4)、点B(3,b)关于x轴对称,则(a+b)2010的值为___________.
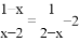
计算题:
(1); (2).