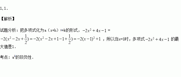
题目内容
多项式的最大值是 ,此时x= .
已知:如图,在矩形ABCD中,E、F、G、H分别为边AB、BC、CD、DA的中点.若AB=2,AD=4,则图中阴影部分的面积为( )
A. 8 B. 6 C. 4 D. 3
如图是正方体的一种展开图,其中每个面上都标有一个数字,那么在原正方体中,与数字“2”相对的面上的数字是 .
(10) 如图,在△ABC中,AD是∠BAC的平分线,EF垂直平分AD交AB于E,交AC于F.求证:四边形AEDF是菱形.
若是从0,1,2,三个数中任取的一个数,是从0,2两个数中任取的一个数,那么关于的一元二次方程有实数根的概率为______________.
暑假中,小明和小亮每人要从甲、乙、丙三个社区中随机选取一个社区参加综合实践活动,那么小明和小亮选同一社区参加实践活动的概率为( )
A. B. C. D.
计算:10-8-(-6)-(+4).
下面各数中,比-2小的数是( )
A. -1 B. -3 C. 0 D. 2
如图,四边形ABCD为平行四边形,延长AD到E,使DE=AD,连接EB,EC,DB.添加一个条件,不能使四边形DBCE成为矩形的是( )
(A)AB=BE (B)BE⊥DC (C)∠ADB=90° (D)CE⊥DE