题目内容
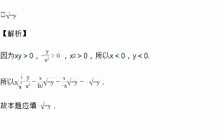
已知xy>0,化简二次根式x的正确结果是_________.
禽流感病毒的形状一般为球形,直径大约为0.000000102m,将0.000000102用科学记数法表示为_____.
如图,在平面直角坐标系中,△ABC的三个顶点都在格点上,点A的坐标为(2,4),请解答下列问题:
(1)画出△ABC关于x轴对称的△A1B1C1,并写出点A1的坐标.
(2)画出△A1B1C1绕原点O旋转180°后得到的△A2B2C2,并写出点A2的坐标.
若x2+mxy+y2是一个完全平方式,则m=( )
A. 2 B. 1 C. ±1 D. ±2
已知a+b=-2,ab=,求的值.
已知x-=,则x2+=________.
下列二次根式中,不能与合并的是( )
A. B. C. D.
经过平移、旋转或轴对称的变换后,不能得到如图所示的图形的是( )
若等腰三角形的周长是100cm,则能反映这个等腰三角形的腰长y(cm)与底边长x(cm)之间的函数关系式的图象是
A. B. C. D.