题目内容
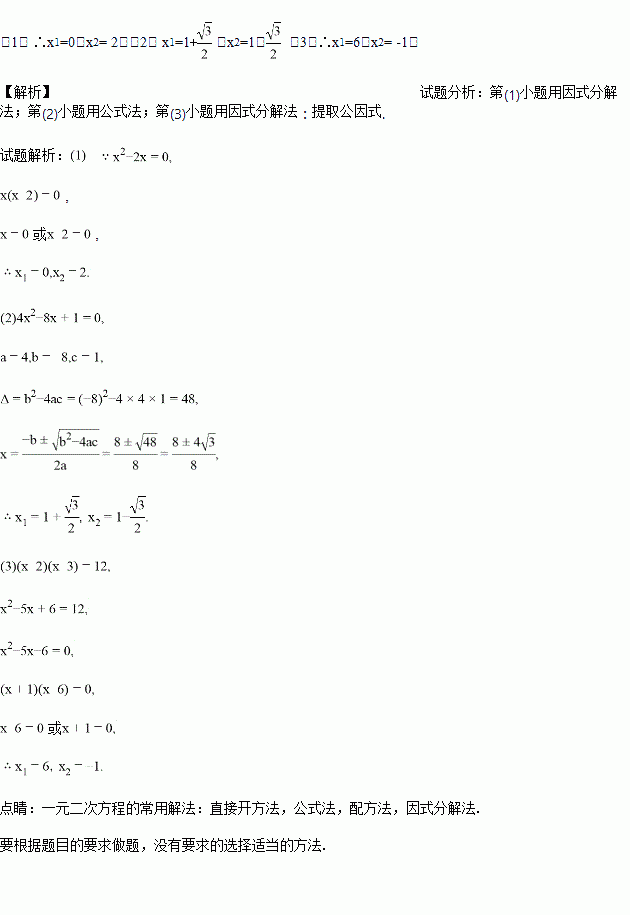
(1)解方程:x2﹣2x=0 (2) 4x2﹣8x+1=0
(3)(x﹣2)(x﹣3)=12.
比-7.1大,而比1小的整数的个数是( )
A. 6 B. 7 C. 8 D. 9
计算
(1) (2) (3)
下列二次根式中是最简二次根式的是( )
A. B. C. D.
已知a,b是方程x2+2x﹣5=0的两个实数根,则a2b﹣10+ab2的值为______.
若x:y=3:1,则x:(x﹣y)=__________.
用配方法解一元二次方程时,此方程可变形为( )
已知关于x的方程x2﹣2x+3m=0有两个实数根,则m的取值范围是 .
下列命题中正确的有( )个
①三个内角对应相等的两个三角形全等;
②三条边对应相等的两个三角形全等;
③有两角和一边分别对应相等的两个三角形全等;
④等底等高的两个三角形全等.
A. 1 B. 2 C. 3 D. 4