题目内容
矩形,菱形,正方形都具有的性质是( )
A. 每一条对角线平分一组对角
B. 对角线相等
C. 对角线互相平分
D. 对角线互相垂直
现有两根木棒,它们的长分别是20cm和30cm,若不改变木棒的长短,要钉成一个三角形木架,则应在下列四根木棒中选取( )
A. 10cm的木棒 B. 40cm的木棒 C. 50cm的木棒 D. 60cm的木棒
已知正比例函数的图象上两点、,且,下列说法正确的是
A. B. C. D. 不能确定
已知:如图,在菱形ABCD中,点E、F分别为边CD、AD的中点,连接AE,CF,求证:△ADE≌△CDF.
如图,正方形ABCD的面积为4,△ABE是等边三角形,点E在正方形ABCD内,在对角线AC上有一点P,使PD+PE的和最小,则这个最小值为( )
A. 2 B. 3 C. 2 D.
如图,在直角坐标系中.
若把向上平移2个单位,再向右平移2个单位得,在图中画出,并写出的坐标;
求出的面积.
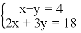
不等式组的整数解有______个
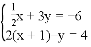
解下列方程组.
(1)(2)
计算的值为( )
A.
B.
C.
D.