题目内容
根据下列表述,能确定位置的是( )
A. 开江电影院左侧第12排 B. 甲位于乙北偏东30°方向上
C. 开江清河广场 D. 某地位于东经107.8°,北纬30.5°
如图,在△ABC中,D为AC边的中点,且DB⊥BC,BC=4,CD=5.
(1)求DB的长;
(2)在△ABC中,求BC边上高的长.
为了了解某厂生产的电风扇的使用寿命,从中抽取了8台电风扇进行试验.这样的调查是________方式.从中抽取的8台电风扇的使用寿命是______.这个厂生产的电风扇使用寿命的全体是______________,其中每台电风扇的使用寿命是____________.
已知点P(2a﹣6,a+1),若点P在坐标轴上,则点P的坐标为________.
已知点A(1,0)B(0,2),点P在x轴上,且△PAB的面积为5,则点P的坐标为( )
A. (-4,0) B. (6,0)
C. (-4,0)或(6,0) D. (0,12)或(0,-8)
如图,用锤子以相同的力将铁钉垂直钉入木块,随着铁钉的深入,铁钉所受的阻力也越来越大.当未进入木块的钉子长度足够时,每次钉入木块的钉子长度是前一次.已知这个铁钉被敲击3次后全部进入木块(木块足够厚),且第一次敲击后铁钉进入木块的长度是2cm,若铁钉总长度为acm,求a的取值范围.
解下列不等式,并把解集在数轴上表示出来.
(1)5(x﹣1)≤3(x+1)
(2)﹣>﹣2
(3)
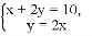
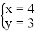
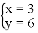
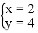
下列哪组数是二元一次方程组的解( )
A. B. C. D.
若关于x,y的方程组与有相同的解,则m=____,n=____.