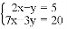
题目内容
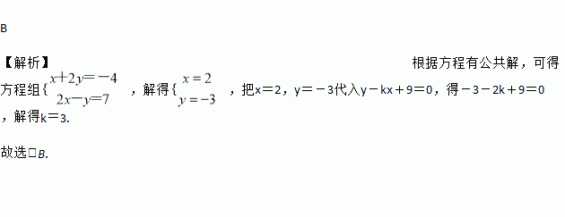
如果方程x+2y=-4,2x-y=7,y-kx+9=0有公共解,则k的解是( )
A. -3 B. 3 C. 6 D. -6
练习册系列答案
相关题目
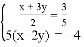
电脑中有一种游戏——蜘蛛纸牌,开始游戏前有500分的基本分,游戏规则如下:①操作一次减x分;②每完成一列加y分.有一次小明在玩这种“蜘蛛纸牌”游戏时,随手用表格记录了两个时段的电脑显示:
第一时段 | 第二时段 | |
完成列数 | 2 | 5 |
分数 | 634 | 898 |
操作次数 | 66 | 102 |
(1)通过列方程组,求x,y的值;
(2)如果小明最终完成此游戏(即完成10列),分数是1 182,问他一共操作了多少次?