题目内容
计算:﹣b3•b2=_____.
如图,有长为24 m的篱笆,一面利用墙(墙的最大可用长度a为10 m)围成中间隔着一道篱笆的长方形花圃.
(1)现要围成面积为45 m2的花圃,则AB的长是多少米?
(2)现要围成面积为48 m2的花圃能行吗?若能行,则AB的长是多少?若不能行,请说明理由.
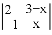
阅读理【解析】
我们把 称作二阶行列式,规定它的运算法则为=ad-bc,如=2×5-3×4=-2.如果有>0,求x的解集.
已知2x+5y-9=0,求4x·32y的值.
计算(ab)3=_____.
已知ax=3,ay=5,则ax+y= .
下列运算中,正确的是( )
A. a3•a2=a6 B. b5•b5=2b5 C. x4+x4=x8 D. y•y5=y6
如图,△ABC与△A1B1C1是位似图形,点O是其位似中心,且AA1=AO,若△ABC的面积为5,则△A1B1C1的面积为( )
A. 5 B. 10 C. 20 D. 25
(6分)计算:()﹣2+|﹣2|﹣2cos30+.