题目内容
解方程
【小题1】![]()
【小题2】![]()
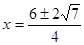
【小题1】![]()
∴
………2分
∴
,
………4分
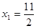
【小题2】∵
∴
……2分
∴
………3分
,
…4分
解析
练习册系列答案
相关题目
题目内容
解方程
【小题1】![]()
【小题2】![]()
【小题1】![]()
∴
………2分
∴
,
………4分
【小题2】∵
∴
……2分
∴
………3分
,
…4分
解析