题目内容
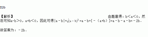
如果表示a、b的实数的点在数轴上的位置如图所示,那么化简|a﹣b|+的结果是_____.
右图是某汽车行驶的路程s(km)与时间t(分钟) 的函数关系图。
观察图中所提供的信息,解答下列问题:
(1)汽车在前9分钟内的平均速度是 ;
(2)汽车在中途停了多长时间? ;
(3)当16≤t ≤30时,求S与t的函数关系式。
在平面直角坐标系中,一条直线经过A(-1,5),P(-2,a),B(3,-3)三点.
(1)求a的值;
(2)设这条直线与y轴相交于点D,求△OPD的面积.
如图,数轴上表示的是某个函数自变量的取值范围,则这个函数解析式为( )
A. y=x+2 B. y=x2+2 C. y= D. y=
(1)计算:(﹣4)﹣(3﹣2)
(2)化简:(.
已知x=,y=,则x2+xy+y2的值为( )
A. 2 B. 4 C. 5 D. 7
如图,直线y=kx+b与坐标轴交于A,B两点,其中点B的坐标为(0,4),tan∠BAO=,一条抛物线的顶点为坐标原点,且与直线y=kx+b交于点C(m,8),点P为线段BC上一动点(不与点B,点C重合),PD⊥x轴于点D,交抛物线于点Q.
(1)求直线和抛物线的函数关系式;
(2)设点P的横坐标为t,线段PQ的长度为d,求出d与t之间的函数关系式,并求出d的最大值;
(3)是否存在点P的位置,使得以点P,D,B为顶点的三角形是等腰三角形?如果存在,直接写出点P的坐标;如果不存在,请说明理由.
用蓝色和红色可以混合在一起调配出紫色,小明制作了如图所示的两个转盘,其中一个转盘两部分的圆心角分别是120°和240°,另一个转盘两部分被平分成两等份,分别转动两个转盘,转盘停止后,指针指向的两个区域颜色恰能配成紫色的概率是( )
A. B. C. D.
(1)已知实数a、b在数轴上的位置如图所示,化简=_____________;
(2)已知正整数,满足,则整数对的个数是_______________;
(3)△ABC中,∠A=50°,高BE、CF所在的直线交于点O,∠BOC的度数__________.