题目内容
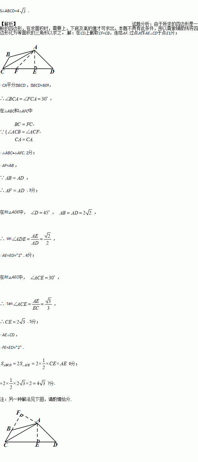
已知:如图,在四边形ABCD中, ,∠BCD=60º,∠ADC=45º, CA平分∠BCD, ,求四边形ABCD的面积.
如图,一架2.5米长的梯子AB,斜靠在一竖直的墙AC上,这时梯足B到墙底端C的距离为0.7米,如果梯子的顶端沿墙下滑0.4米,那么梯足将向外移多少米?
下列命题中正确的是( )
A. 有一组邻边相等的四边形是菱形 B. 有一个角是直角的平行四边形是矩形
C. 对角线垂直的平行四边形是正方形 D. 一组对边平行的四边形是平行四边形
2-的相反数是__________,绝对值是_____________。
下列运算中,正确的是( )
A. =24 B. =3
C. =±9 D. -=-
已知关于x的方程
(1)求证:无论取任何实数时,方程恒有实数根;
(2)若关于的二次函数的图象与轴两个交点的横坐标均为整数,求m的整数值.
在Rt△ABC中,∠A=90°,有一个锐角为60°,BC=6.若点P在直线AC上(不与点A,C重合),且∠ABP=30°,则CP的长为___________________________.
小明有5张写着不同的数字的卡片,请你按要求抽出卡片,完成下列各问题:
(1)从中取出2张卡片,使这2张卡片上数字乘积最大,最大值是 ;
(2)从中取出2张卡片,使这2张卡片上数字相除的商最小,最小值是 ;
(3)从中取出4张卡片,用学过的运算方法,使结果为24.写出运算式子:
下列各式①; ②; ③; ④;⑤; ⑥,其中一定是二次根式的有( )
A. 4个 B. 3个 C. 2个 D. 1个