题目内容
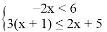
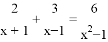
某地充分利用当地地理优势,大力发展山村特色旅游,为推介宣传,现制作两种宣传手提袋,已知同样用6m材料制成甲种的个数比制成乙种的个数少2个,且制成一个甲种比制成一个乙种需要多用20%的材料.
(1)求制作每个甲种、乙种各用多少米材料?
(2)如果制作甲、乙两种手提袋共3000个,且甲种的数量不少于乙种数量的2倍,那么请写出所需要材料的总长度l(m)与甲种数量n(个)之间的函数关系式,并求出最少需要多少米材料?
练习册系列答案
相关题目
题目内容
某地充分利用当地地理优势,大力发展山村特色旅游,为推介宣传,现制作两种宣传手提袋,已知同样用6m材料制成甲种的个数比制成乙种的个数少2个,且制成一个甲种比制成一个乙种需要多用20%的材料.
(1)求制作每个甲种、乙种各用多少米材料?
(2)如果制作甲、乙两种手提袋共3000个,且甲种的数量不少于乙种数量的2倍,那么请写出所需要材料的总长度l(m)与甲种数量n(个)之间的函数关系式,并求出最少需要多少米材料?