题目内容
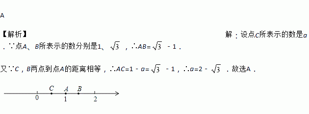
如图所示,数轴上表示1, 的点为A,B,且C,B两点到点A的距离相等,则点C所表示的数是 ( )
A. 2- B. -2 C. -1 D. 1-
如图,在直角坐标系平面内,函数y=(x>0,m是常数)的图象经过A(1,4)、B(a,b),其中a>1,过点A作x轴的垂线,垂足为C,过点B作y轴的垂线,垂足为D,连接AD,AB,DC,CB.
(1)求反比例函数解析式;
(2)当△ABD的面积为S,试用a的代数式表示求S.
(3)当△ABD的面积为2时,判断四边形ABCD的形状,并说明理由.
一个平行四边形的三个顶点的坐标分别是(0,0)、(2,0)、(1,2),第四个顶点在x轴下方,则第四个顶点的坐标为( )
A. (-1,-2) B. (1,-2) C. (3,2) D. (-1,2)
比较大小:3_____(填写“<”或“>”)
的平方根是( )
A. 6 B. ±6 C. D. ±
已知:如图,在梯形ABCD中,AB∥CD,∠D=90°,AD=CD=2,点E在边AD上(不与点A、D重合),∠CEB=45°,EB与对角线AC相交于点F,设DE=x.
(1)用含x的代数式表示线段CF的长;
(2)如果把△CAE的周长记作C△CAE,△BAF的周长记作C△BAF,设=y,求y关于x的函数关系式,并写出它的定义域;
(3)当∠ABE的正切值是时,求AB的长.
如图,两个可以自由转动的均匀转盘A、B,分别被分成4等分和3等分,并在每份内均标有数字.小花为甲、乙两人设计了一个游戏规则如下:同时自由转动转盘A、B;两个转盘停止后,(如果指针恰好指在分格线上,那么重转一次,直到指针指向某一数字为止),将两个指针所指份内的两个数字相乘,如果得到的积是偶数,那么甲胜;如果得到的积是奇数,则乙胜.但小强认为这样的规则是不公平的.
(1)请你用一种合适的方法(例如画树状图、列表)帮忙小强说明理由;
(2)请你设计一个公平的规则,并说明理由.
如图,在平面直角坐标系中,点D的坐标是(﹣3,1),点A的坐标是(4,3).
(1)点B和点C的坐标分别是______、______.
(2)将△ABC平移后使点C与点D重合,点A、B与点E、F重合,画出△DEF.并直接写出E、F的坐标.
(3)若AB上的点M坐标为(x,y),则平移后的对应点M′的坐标为______.
已知,抛物线y=ax2+ax+b(a≠0)与直线y=2x+m有一个公共点M(1,0),且a<b.
(1)求b与a的关系式和抛物线的顶点D坐标(用a的代数式表示);
(2)直线与抛物线的另外一个交点记为N,求△DMN的面积与a的关系式;
(3)a=﹣1时,直线y=﹣2x与抛物线在第二象限交于点G,点G、H关于原点对称,现将线段GH沿y轴向上平移t个单位(t>0),若线段GH与抛物线有两个不同的公共点,试求t的取值范围.