题目内容
用代入消元法解下列方程
(1) (2)
(3) (4)
(5) (6)
如图,已知⊙O的半径为5,弦AB=6,M是AB上任意一点,则线段OM的长可能是( )
A.2.5 B.3.5 C.4.5 D.5.5
如图,△ABC中,AB=AC,AD是△ABC的角平分线,点O为AB的中点,连接DO并延长到点E,使OE=OD,连接AE,BE.
(1)求证:四边形AEBD是矩形;
(2)当△ABC满足什么条件时,矩形AEBD是正方形?并说明理由.
顺次连结任意四边形各边中点所得到的四边形一定是 ( )
A. 平行四边形 B. 菱形 C. 矩形 D. 正方形
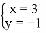
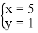
小亮在解方程组时,因把a看错而得到,而方程组正确的解是,求a-c-d的值.
若,则2x-3y=________.
已知是二元一次方程组的解,则2m-n的算术平方根为( )
A. ±2 B. C. 4 D. 2
如图,在半径为5的⊙O中,AB、CD是互相垂直的两条弦,垂足为P,且AB=CD=8,则OP的长为( )
A. 3 B. 4 C. 3 D. 4
直线l与双曲线C在第一象限相交于A、B两点,其图象信息如图所示,则阴影部分(包括边界)横、纵坐标都是整数的点(俗称格点)有:
A. 4个 B. 5 个 C. 6个 D. 8个