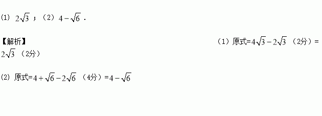
题目内容
计算:(1)
(2)![]()
练习册系列答案
相关题目
某校随机抽查了10名参加2017年我市初中学业水平考试学生的体育成绩,得到的结果如下表:
成绩/分 | 56 | 57 | 58 | 59 | 60 |
人数 | 1 | 2 | 1 | 2 | 4 |
下列说法中,正确的是( )
A. 这10名学生体育成绩的中位数为58 B. 这10名学生体育成绩的平均数为58
C. 这10名学生体育成绩的众数为60 D. 这10名学生体育成绩的方差为60
题目内容
计算:(1)
(2)![]()
某校随机抽查了10名参加2017年我市初中学业水平考试学生的体育成绩,得到的结果如下表:
成绩/分 | 56 | 57 | 58 | 59 | 60 |
人数 | 1 | 2 | 1 | 2 | 4 |
下列说法中,正确的是( )
A. 这10名学生体育成绩的中位数为58 B. 这10名学生体育成绩的平均数为58
C. 这10名学生体育成绩的众数为60 D. 这10名学生体育成绩的方差为60