题目内容
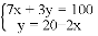
方程组的解是
在平面直角坐标系中,点(1,2)位于第 象限.
在一个可以改变体积的密闭容器内装有一定质量的二氧化碳,当改变容器的体积时,气体的密度也会随之改变,密度ρ(单位:kg/m3)是体积V(单位:m3)的反比例函数,它的图象如图所示,当V=10m3时,气体的密度是( )
A. 5kg/m3 B. 2kg/m3 C. 100kg/m3 D. 1kg/m3
在△ABC中,三条边的长分别为2、3、4,△A′B′C′的两边长分别为1、1.5,要使△ABC∽△A′B′C′,那么△A′B′C′的第三边长应该是( )
A. 2 B. C. 4 D. 2
解下列二元一次方程组
(1)
(2)
(3)
(4)
解方程组:(1);(2);(3) ;(4)
比较适宜的方法是( )
A. (1)(2)用代入法,(3)(4)用加减法 B. (1)(3)用代入法,(2)(4)用加减法
C. (2)(3)用代入法,(1)(4)用加减法 D. (2)(4)用代入法,(1)(3)用加减法
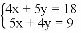
二元一次方程组的解是( )
A. B. C. D.
下列计算正确的是( )
A. +=2 B. 3+=3
C. += D. +=3+
甲、乙两地相距100,一辆汽车从甲地开往乙地,把汽车到达乙地所用的时间表示为汽车速度的函数,并画出函数图象.