题目内容
平行四边形的两条邻边的比为2:1,周长为60cm,则这个四边形较短的边长为________.
如果最简二次根式与可以合并,那么使有意义的x的取值范围是______.
(1)先化简,再求值:,其中x=1;
(2)先化简,再求值:,从不大于4的正整数中,选择一个合适的值代入x求值.
一种病毒的长度约为0.00000432毫米,数据0.000000432用科学记数法表示为( )
A. 432×10﹣8 B. 4.32×10﹣7 C. 4.32×10﹣6 D. 0.432×10﹣5
如图,在小山的西侧A处有一热气球,以25米/分钟的速度沿着与垂直方向所成夹角为15°的方向升空,40分钟后到达B处,这时热气球上的人发现,在A处的正东方向有一处着火点C,在B处测得着火点C的俯角为30°,求热气球升空点A与着火点C的距离.(结果保留根号)
如图,抛物线y=﹣2x2+8x﹣6与x轴交于点A、B,把抛物线在x轴及其上方的部分记作C1,将C1向右平移得C2,C2与x轴交于点B,D.若直线y=x+m与C1、C2共有3个不同的交点,则m的取值范围是( )
A. ﹣2<m< B. ﹣3<m<﹣ C. ﹣3<m<﹣2 D. ﹣3<m<﹣
如图,已知AB∥CD,∠A=40°,∠D=45°,则∠1的度数是 ( )
A. 80° B. 85° C. 90° D. 95°
张老师和李老师同时从学校出发,步行15千米去县城购买书籍,张老师比李老师每小时多走1千米,结果比李老师早到半小时,两位老师每小时各走多少千米?设李老师每小时走x千米,依题意,得到的方程是( )
A. B. C. D.
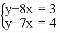
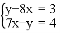
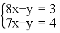
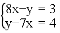
《九章算术》是中国传统数学的重要著作,方程术是它的最高成就.其中记载:今有共买物,人出八,盈三;人出七,不足四,问人数、物价各几何?译文:今有人合伙购物,每人出8钱,会多3钱;每人出7钱,又会差4钱,问人数、物价各是多少?设合伙人数为x人,物价为y钱,以下列出的方程组正确的是( )