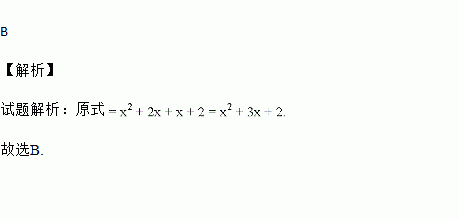
题目内容
计算(x+1)(x+2)的结果为 ( )
A. x2+2 B. x2+3x+2 C. x2+3x+3 D. x2+2x+2
练习册系列答案
相关题目
某中学举行“校园好声音”歌手大赛,初、高中部根据初赛成绩,各选出 名选手组成初中代表队和高中代表队参加学校决赛.每个队![]()
名选手的决赛成绩如图所示:![]()
![]()
填表:![]()
平均数(分) | 中位数(分) | 众数(分) | |
初中代表队 |
|
| |
高中代表队 |
|
|
结合两队决赛成绩的平均数和中位数,分析哪个代表队的成绩较好;![]()
计算两队决赛成绩的方差,并判断哪个代表队的成绩较为稳定.![]()