题目内容
如图是由一系列直角三角形组成的螺旋形,
,则第n个直角三角形的面积为 _________ .
![]()
练习册系列答案
相关题目
某商场一天中售出李宁牌运动鞋11双,其中各种尺码的鞋的销售量如下表所示,
鞋的尺码(单位:厘米) | 23.5 | 24 | 24.5 | 25 | 26 |
销售量(单位:双) | 1 | 2 | 2 | 5 | 1 |
则这11双鞋的尺码组成一组数据中众数和中位数分别为( )
A. 25,25 B. 24.5,25 C. 26,25 D. 25,24.5
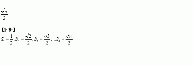
题目内容
如图是由一系列直角三角形组成的螺旋形,
,则第n个直角三角形的面积为 _________ .
![]()
某商场一天中售出李宁牌运动鞋11双,其中各种尺码的鞋的销售量如下表所示,
鞋的尺码(单位:厘米) | 23.5 | 24 | 24.5 | 25 | 26 |
销售量(单位:双) | 1 | 2 | 2 | 5 | 1 |
则这11双鞋的尺码组成一组数据中众数和中位数分别为( )
A. 25,25 B. 24.5,25 C. 26,25 D. 25,24.5