题目内容
计算:
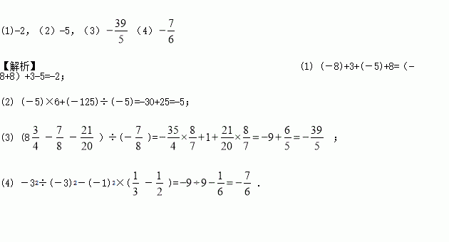
(1) (-8)+3+(-5)+8; (2) (-5)×6+(-125)÷(-5);
(3) (8--)÷(-); (4) -32÷(-3)2-(-1)3×(-) .
一艘船从甲码头到乙码头顺流行驶用4小时;从乙码头到甲码头逆流行驶用5小时。已知水流速度为3千米/小时,则船在静水中的平均速度是 ( )
A. 6千米/小时 B. 9千米/小时 C. 27千米/小时 D. 54千米/小时
某研究所将某种材料加热到1000℃时停止加热,并立即将材料分为A、B两组,采用不同工艺做降温对比实验,设降温开始后经过x min时,A、B两组材料的温度分别为yA℃、yB℃,yA、yB与x的函数关系式分别为yA=kx+b,yB=(x﹣60)2+m(部分图象如图所示),当x=40时,两组材料的温度相同.
(1)分别求yA、yB关于x的函数关系式;
(2)当A组材料的温度降至120℃时,B组材料的温度是多少?
(3)在0<x<40的什么时刻,两组材料温差最大?
已知⊙O的面积为2π,则其内接正三角形的面积为( ).
A. B. C. D.
探索研究:
(1) 比较下列各式的大小 (用“<”或“>”或“=”连接)
①+ ; ② +
③+ . ④+
(2) 通过以上比较,请你分析、归纳出当a、b为有理数时, +与的大小关系.(直接写出结论即可)
(3)根据(2)中得出的结论,当+2015=时,则x的取值范围是 .
如+=15, =5,则a1+a2= .
若+(b-2)2=0,则a+b=_________.
已知a、b互为相反数,c、d互为倒数,则代数式2(a+b)-3cd的值为_______.
如图,⊙O的半径为2cm,弦BC与弦AD交于点E,且∠CED=75°,弦AB为cm,则CD的长为________cm.
如图,在△ABC中,∠CAB=75°,在同一平面内,将△ABC绕点A旋转到△AB’C’的位置,使CC’//AB,求∠BAB’的度数。