题目内容
被除数是-5,除数是-的倒数,则商是________.
如图,,,求的度数.
不透明袋子中装有一个几何体模型,两位同学摸该模型并描述它的特征.甲同学:它有4个面是三角形;乙同学:它有8条棱.该模型的形状对应的立体图形可能是( )
A. 三棱柱 B. 四棱柱 C. 三棱锥 D. 四棱锥
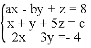
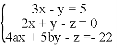
已知方程组与方程组有相同的解,则a、b、c的值为
A. B. C. D.
小刚在课外书中看到这样一道有理数的混合运算题:
计算:
她发现,这个算式反映的是前后两部分的和,而这两部分之间存在着某种关系,利用这种关系,他顺利地解答了这道题。
(1)前后两部分之间存在着什么关系?
(2)先计算哪步分比较简便?并请计算比较简便的那部分。
(3)利用(1)中的关系,直接写出另一部分的结果。
(4)根据以上分析,求出原式的结果。
的倒数是_____.
下列各对数中,互为倒数的一对是( )
A. 4和﹣4 B. ﹣2和﹣ C. ﹣3和 D. 0和0
因式分【解析】(1);(2).
已知线段a,b,c,且.
(1)求的值;
(2)若线段a,b,c满足a+b+c=27,求a,b,c的值.