题目内容
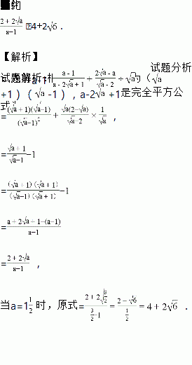
先化简,再求值 ,并求a=1时的值.
近视眼镜的度数(度)与镜片焦距(米)成反比例,已知400度近视眼镜镜片的焦距为0.25米,则眼镜度数与镜片焦距之间的函数关系式为 .
解方程组:(1);(2);(3) ;(4)
比较适宜的方法是( )
A. (1)(2)用代入法,(3)(4)用加减法 B. (1)(3)用代入法,(2)(4)用加减法
C. (2)(3)用代入法,(1)(4)用加减法 D. (2)(4)用代入法,(1)(3)用加减法
计算+++…+的值为__________.
下列计算正确的是( )
A. +=2 B. 3+=3
C. += D. +=3+
若a=3﹣,则a2﹣6a﹣3的值为_____.
若,则的值等于( )
A. B. C. D. 或
上学期期末考试,某小组五位同学的数学成绩分别是,则这五个数据的中位数是
A. 90 B. 98 C. 100 D. 105
我市某蔬菜生产基地在气温较低时,用装有恒温系统的大棚栽培一种在自然光照且温度为18 ℃的条件下生长最快的新品种.如图是某天恒温系统从开启到关闭及关闭后,大棚内温度y(℃)随时间x(小时)变化的函数图象,其中BC段是双曲线y=的一部分.请根据图中信息解答下列问题:
(1)恒温系统在这天保持大棚内温度18 ℃的时间有多少小时?
(2)求k的值;
(3)当x=16时,大棚内的温度约为多少度?