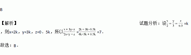
题目内容
已知,则的值是( )
A. B. 7 C. 1 D.
如图,?ABCD中,对角线AC与BD交于点O,∠DAC=42°,∠CBD=23°,则∠COD的度数为( )
A. 61° B. 63° C. 65° D. 67°
用不等式表示图中的解集,其中正确的是( )
A. x>-3 B. x<-3
C. x≥-3 D. x≤-3
某农场原计划用天完成的播种任务,如果要提前天结束,那么平均每天比原计划要多播种 ___________ .
若的值是________.
已知关于的分式方程的解是非正数,则以的取值范围是 ( )
A. ≤一1 B. ≤一1且≠一2
C. ≤1且≠2 D. ≤1
如图,∠A=∠B,AE=BE,点D在AC边上,∠1=∠2,AE,BD交于点O;
求证:△AEC≌△BED;
如图,在△ABC中,AB=5cm,BC=3cm,∠BAC与∠BCA的平分线相交于点O,点D在AB上,且AD=OD,DO的延长线交BC于点E.试求△BDE的周长.
给出四个数0,,π,﹣1,其中最小的是( )
A.0 B. C.π D.﹣1