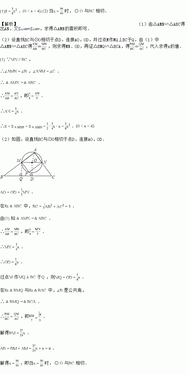
题目内容
如图,在中,,,,点是上的动点(不与,重合),过点作交
于点.以为直径作,并在内作内接矩形,令.
用含的代数式表示的面积;
当为何值时,与直线相切?
计算(1)
(2)
如果一个角等于它余角的2倍,那么这个角是它的补角的( )
A. 2倍 B. 倍 C. 5倍 D. 倍
方程x(x-2)=-(x-2)的根是_______.
计算的结果为( )
A. B. C. 3 D. 5
在函数中,自变量x的取值范围是______.
方程是关于的一元二次方程,则的取值范围为( )
A. B. C. D.
已知当x=m和x=n时,多项式x2﹣4x+1的值相等,且m≠n,则当x=m+n﹣3时多项式x2﹣4x+1的值为_____.
下列方程中,为一元二次方程的是( )
A. x=2y-3 B. +1=3 C. x2+3x-1=x2+1 D. x2=0