题目内容
若x1,x2是方程2x2-4x+1=0的两个根,则A.6
B.4
C.3
D.
【答案】分析:利用根与系数的关系可求出x1+x2,x1x2的值;把
+
通分,再把x1+x2,x1x2的值代入计算即可.
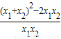
解答:解:∵x1+x2=2,x1x2=
,
∴
+
=
=
=6.
故选A.
点评:本题考查了根与系数的关系:如果x1,x2是关于x的一元二次方程ax2+bx+c=0(a≠0)的两个根,那么x1+x2,x1x2与系数a,b,c的关系是:x1+x2=-
,x1x2=
.
解答:解:∵x1+x2=2,x1x2=
∴
故选A.
点评:本题考查了根与系数的关系:如果x1,x2是关于x的一元二次方程ax2+bx+c=0(a≠0)的两个根,那么x1+x2,x1x2与系数a,b,c的关系是:x1+x2=-
练习册系列答案
相关题目