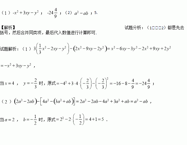
题目内容
先化简,再求值:
(),其中, .
两个正数的平均数为2,其乘积的算术平方根为,则其中的大数比小数大( )
A. 4 B. 2 C. 6 D. 3
为了加强公民的节水意识,合理利用水资源,某城市规定用水收费标准如下:每户每月用水不超过6m3,水费按1.6元/m3收费;每户每月用水超过6m3时,超过的部分按4元/m3收费.设每户每月用水量为x(m3),应缴水费为y元.
(1)写出每月用水不超过6m3和超过6m3时,y与x之间的函数关系式.
(2)已知某户5月份的用水量为8m3,求该用户5月份的水费.
已知y关于x的函数图象如图所示,则当y<0时,自变量x的取值范围是( )
A. x<0 B. ﹣1<x<1或x>2 C. x>﹣1 D. x<﹣1或1<x<2
下面汽车标志图形中,不是轴对称图形是( )
A. B. C. D.
, , 在数轴上的位置如下图,化简__________.
无理数介于哪两个整数之间( ).
A. 与 B. 与 C. 与 D. 与
如图,把面积为的正三角形的各边依次循环延长一倍,顺次连接着三条线段的外端点,这样操作后,可以得到一个新的正三角形;对新三角形重复上述过程,经过此操作后,所得正三角形的面积是__________.
如图,△ABC和△ADE中,AB=AD,AC=AE, ∠BAC=∠DAE,BC交
DE于点O,∠BAD=a.
(1)求证:∠BOD=a.
(2)若AO平分∠DAC, 求证:AC=AD.
(3)若∠C=30°,OE交AC于F,且△AOF为等腰三角形,则a= .