若关于x的方程无解,则m=___________.

-8 . 【解析】试题分析:去分母可得:x-1=-,解得:x=1-,根据分式无解可知x=5,即1-=5,解得:m=-8.

解分式方程的解是________

-1 【解析】两边同时乘最简公分母(x+2)(x+4)整理成整式方程为:x+4=3x+6,解得x=-1,经检验是方程的解,故答案为:x=-1.

分式方程的解为( )

A. 2 B. 1 C. -1 D. -2

A 【解析】方程两边都乘2x-3,得 1=2x-3, 解得x-=2. 检验:当x=2时,2x-3≠0. ∴x=2是原方程的解. 所以A选项是正确的.

若x2-6x+9与|y-2|互为相反数,则的值为__.

【解析】∵x2-6x+9与|y-2|互为相反数, ∴x2-6x+9+|y-2|=0, ∴(x-3)2+|y-2|=0, ∴x+3=0,y-2=0, ∴x=3,y=2, ∴+ = = = = = =.

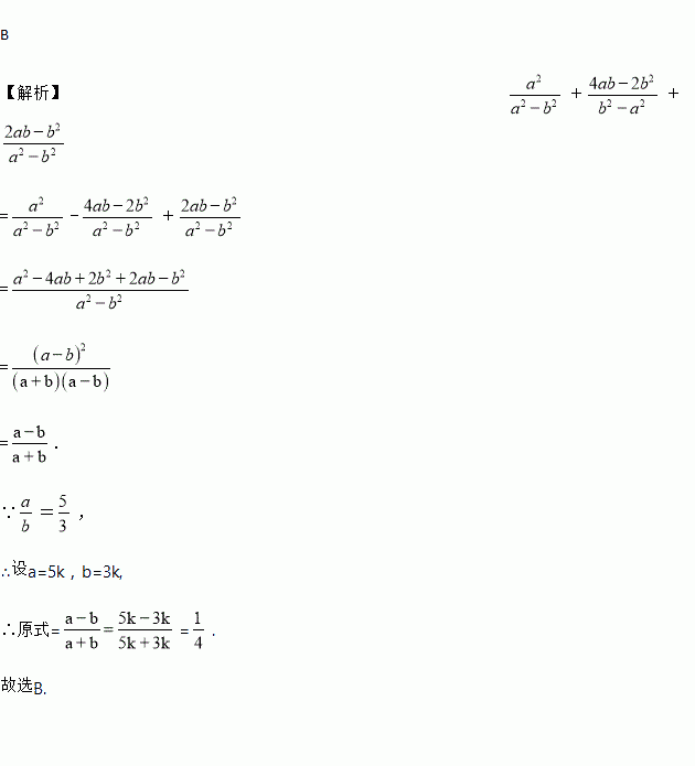
计算:

1 【解析】试题分析:根据分式加减的运算法则进行运算即可. 试题解析:原式

计算:=

x. 【解析】 试题分析:===x.故答案为:x.

如图,在△ABC中,AB=20cm,AC=12cm,点P从点B出发以每秒3cm速度向点A运动,点Q从点A同时出发以每秒2cm速度向点C运动,其中一个动点到达端点,另一个动点也随之停止,当△APQ是以PQ为底的等腰三角形时,运动的时间是( )秒

A. 2.5 B. 3 C. 3.5 D. 4

D 【解析】【解析】 设运动的时间为x,在△ABC中,AB=20cm,AC=12cm,点P从点B出发以每秒3cm的速度向点A运动,点Q从点A同时出发以每秒2cm的速度向点C运动,当△APQ是等腰三角形时,AP=AQ,AP=20﹣3x,AQ=2x,即20﹣3x=2x,解得x=4.故选D.

某人乘雪橇沿如图所示的斜坡笔直下滑,滑下的距离s(m)与时间t(s)之间的关系式是s=t2+10t.若下滑的时间为2s,则此人下滑的高度是_______m.

12 【解析】试题分析:把t=2代入s= t2+10t中得: s=24, ∵三角形是含30°角的直角三角形, ∴此人下滑的高度为:24×=12米. 故答案为12.

违法和不良信息举报电话:027-86699610 举报邮箱:58377363@163.com

精英家教网