题目内容
若=3,则=_________.
如图,比例规是一种画图工具,它由长度相等的两脚AC和BD交叉构成,利用它可以把线段按一定的比例伸长或缩短如果把比例规的两脚合上,使螺丝钉固定在刻度3的地方即同时,然后张开两脚,使两个尖端分别在线段a的两个端点上,当时,则AB的长为
A. cm B. cm C. cm D. cm
如图,在平面直角坐标系中,分别平行于轴、轴的两直线、相交于点.连接,若在直线上存在点,使是以为腰的等腰三角形.请写出所有满足条件的点的坐标是________.
解方程①; ②.
计算:
①; ②
若顺次连接四边形ABCD各边中点所得四边形是矩形,则四边形ABCD一定是 ( )
A. 矩形 B. 菱形
C. 对角线互相垂直的四边形 D. 对角线相等的四边形
如图1,直角梯形ABCD中,AD∥BC,∠ADC=90°,AD=8,BC=6,点M从点D出发,以每秒2个单位长度的速度向点A运动,同时,点N从点B出发,以每秒1个单位长度的速度向点C运动.其中一个动点到达终点时,另一个动点也随之停止运动.过点N作NP⊥AD于点P,连接AC交NP于点Q,连接MQ.设运动时间为t秒.
(1)AM= ,AP= .(用含t的代数式表示)
(2)当四边形ANCP为平行四边形时,求t的值
(3)如图2,将△AQM沿AD翻折,得△AKM,是否存在某时刻t,
①使四边形AQMK为为菱形,若存在,求出t的值;若不存在,请说明理由
②使四边形AQMK为正方形,则AC= .
如图,由两个长为9,宽为3的全等矩形叠合而得到四边形ABCD,则四边形ABCD面积的最大值是( )
A. 15 B. 16 C. 19 D. 20
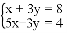
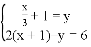
解下列方程组:
(1)
(2)