题目内容
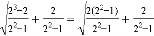
化简的结果是( )
A. B. C. D.
一次函数y=﹣2x+3中,y的值随x值增大而__.(填“增大”或“减小”)
不等式组的解集在数轴上表示正确的是( )
A. A B. B C. C D. D
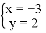
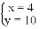
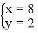
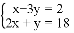
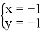
在①②③④四组数值中,是方程x-3y=2的解的是_________,是方程2x+y=18的解的是_______,是方程组的解的是____.(填序号)
探究过程:观察下列各式及其验证过程.
(1)2=
验证:2=×=
=
==
(2)3=
验证:3=×==
同理可得:4
5,……
通过上述探究你能猜测出: a=_______(a>0),并验证你的结论.
如果实数a、b在数轴上的位置如图所示,那么化简=______________.
如图,在四边形ABCD中,对角线AC、BD相交于点O,∠ADB=∠CBD,AD=BC.
(1)求证:四边形ABCD是平行四边形;
(2)若AC=10,BD=24,AB=13,四边形ABCD是菱形吗?证明你的判断.
如图,在正方形ABCD中,对角线BD的长为.若将BD绕点B旋转后,点D落在BC延长线上的点D′处,点D经过的路径为弧DD′,则图中阴影部分的面积是________.
如图①,在正方形ABCD中,P是BD上的一点,点E在AD延长线上,且PA=PE,PE交CD于点F.
(1)求证:PC=PE;
(2)求∠CPE的度数;
(3)如图②,把正方形ABCD改为菱形ABCD,其他条件不变,当∠ABC=120°时,连接CE,试探究线段AP与线段CE的数量关系,并说明理由.