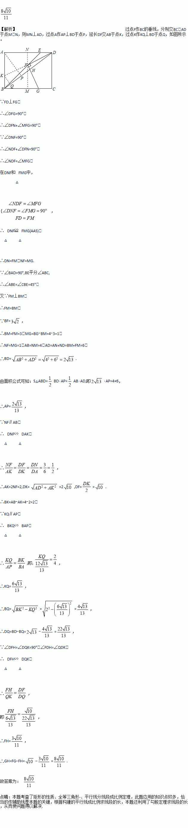
题目内容
如图,矩形ABCD中,BE平分∠ABC交AD于点E,F为BE上一点,连接DF,过F作FG⊥DF交BC于点G,连接BD交FG于点H,若FD = FG,
,BG = 4,则GH的长为__________.
![]()
练习册系列答案
相关题目
题目内容
如图,矩形ABCD中,BE平分∠ABC交AD于点E,F为BE上一点,连接DF,过F作FG⊥DF交BC于点G,连接BD交FG于点H,若FD = FG,
,BG = 4,则GH的长为__________.
![]()