题目内容

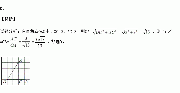
如图,将∠AOB放置在5×5的正方形网格中,则sin∠AOB的值是( )

A. B. C. D.

D. 【解析】 试题分析:在直角△OAC中,OC=2,AC=3,则OA===,则sin∠AOB===.故选D.
练习册系列答案
相关题目

如图,C为线段AE上一动点(不与A、E重合),在AE同侧分别作正三角形ABC和正三角形CDE,AD与BE交于点O,AD与BC交于点P,BE与CD交于点Q,连结PQ,以下五个结论:①AD=BE;②PQ∥AE;③AP=BQ;④DE=DP;⑤∠AOB=60°.其中完全正确的是___________.

①②③⑤ 【解析】试题解析:①△ABC和△DCE均是等边三角形,点A,C,E在同一条直线上, ∴AC=BC,EC=DC,∠BCE=∠ACD= ∴△ACD≌△ECB ∴AD=BE,故本选项正确; ②∵△ACD≌△ECB ∴∠CBQ=∠CAP, 又∵∠PCQ=∠ACB=CB=AC, ∴△BCQ≌△ACP, ∴CQ=CP,又∠PCQ= ∴△PC...

下列各组条件中,能判断两个直角三角形全等的是( )

A. 一组边对应相等 B. 两组直角边对应相等

C. 两组锐角对应相等 D. 一组锐角对应相等

B 【解析】A、两直角三角形隐含一个条件是两直角相等,现已知一组边对应相等 ,要判定两直角三角形全等,还需要一组角对应相等地或是另一组边对应相等才能进行判定,故选项错误; B、可以利用边角边判定两三角形全等,故本选项正确; C、两个锐角分别相等,只有角没有边,不能判定全等,此选项错误; D、一组锐角对应相等,隐含一个条件是两直角相等,根据角对应相等,不能判定三角形全等,故选...

如图,在△ABC中,CD⊥AB,垂足为点D.若AB=12,CD=6,tanA=,求sinB+cosB的值.

. 【解析】试题分析:先在Rt△ACD中,由正切函数的定义得tanA==,求出AD=4,则BD=AB﹣AD=8,再解Rt△BCD,由勾股定理得BC==10,sinB==,cosB==,由此求出sinB+cosB=. 【解析】 在Rt△ACD中,∵∠ADC=90°, ∴tanA===, ∴AD=4, ∴BD=AB﹣AD=12﹣4=8. 在Rt△BCD中,∵∠BD...

如图,已知l1∥l2∥l3,相邻两条平行直线间的距离相等,若等腰直角△ABC的三个顶点分别在这三条平行直线上,则sina的值是(  )

A. B. C. D.

D 【解析】如图,分别过点A,B作AE⊥l1,BF⊥l1,垂足分别为E,F,BF与l3交于点D, 则易由AAS证明△AEC≌△CFB。 设平行线间距离为d=1, 则CE=BF=1,AE=CF=2,AC=BC=,AB=。 ∴。故选D。

如图,AB∥CD,HP平分∠DHF,若∠AGH=80°,求∠DHP的度数.

50° 【解析】试题分析:已知AB∥CD,联系平行线的性质不难得到∠EHD的大小,那么∠FHD的大小也就出来了;观察图形,利用角平分线的性质,即可得到∠DHP的大小. 【解析】 ∵AB∥CD, ∴∠CHF=∠AGH=80°, ∴∠DHF=180°-80°=100°. 又∵HP平分∠DHF, ∴∠DHP=∠DHF=50°.

如图,∠1=∠B,且∠2=∠C,则下列结论不成立的是( )

A、AD∥BC B、∠B=∠C C、∠2+∠B=180° D、AB∥CD

B 【解析】 试题分析:由∠1=∠B可得AD∥BC,再结合∠2=∠C可得AB∥CD,再依次分析各选项即可作出判断. ∵∠1=∠B ∴AD∥BC ∴∠2+∠B=180° ∵∠2=∠C ∴∠B+∠C=180° ∴AB∥CD 故选B.

如图,直线AB、CD相交于点O,OB平分∠DOE,若∠DOE=60°,则∠AOC的度数是_____.

30° 【解析】因为∠BOD=45°,所以∠AOC=∠BOD=45°(对顶角相等),因为OE⊥AB,∴∠AOE=90°,所以∠COE=∠COA+∠AOE=45°+90°=135°.

如图,∠XOY内有一点P,试在射线OX上找出一点M,在射线OY上找出一点N,使PM+MN+NP最短.

见解析 【解析】【解析】 如图所示,分别以直线OX、OY为对称轴,作点P的对称点与, 连接,分别交OX于点M,交OY于点N,则PM+MN+NP最短.

违法和不良信息举报电话:027-86699610 举报邮箱:58377363@163.com

精英家教网