题目内容
如图,在△ABC中,AB=AC,D、E两点分别在AC、BC上,BD是∠ABC的平分线,DE∥AB,若BE=5cm,CE=3cm,则△CDE的周长是_____.
已知,如图,△ABC是等边三角形,AE=CD,BQ⊥AD于Q,BE交AD于点P,下列说法:①∠APE=∠C,② AQ=BQ,③BP=2PQ, ④AE+BD=AB,其正确的个数有( )个.
A. 1 B. 2 C. 3 D. 4
为增强学生体质,各学校普遍开展了阳光体育活动,某校为了解全校1000名学生每周课外体育活动时间的情况,随机调查了其中的50名学生,对这50名学生每周课外体育活动时间x(单位:小时)进行了统计.根据所得数据绘制了一幅不完整的统计图,并知道每周课外体育活动时间在6≤x<8小时的学生人数占24%.根据以上信息及统计图解答下列问题:
(1)本次调查属于 调查,样本容量是 ;
(2)请补全频数分布直方图中空缺的部分;
(3)求这50名学生每周课外体育活动时间的平均数;
(4)估计全校学生每周课外体育活动时间不少于6小时的人数.
一个正多边形的内角和是外角和的2倍,则这个正多边形的每个外角为( )
A. 50° B. 60° C. 45° D. 120°
学生在素质教育基地进行社会实践活动,帮助农民伯伯采摘了黄瓜和茄子共40kg,了解到这些蔬菜的种植成本共42元,还了解到如下信息:
(1)请问采摘的黄瓜和茄子各多少千克?
(2)这些采摘的黄瓜和茄子可赚多少元?
若点M(a,﹣1)与点N(2,b)关于y轴对称,则a+b的值是_____
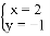
若方程mx+ny=6的两个解是,,则m,n的值为( )
A. 4,2 B. 2,4 C. ﹣4,﹣2 D. ﹣2,﹣4
已知O是直线AB上的一点,∠COD是直角,OE平分∠BOC.
(1)如图①,若∠AOC=30°,求∠DOE的度数;
(2)在图①中,若∠AOC=,直接写出∠DOE的度数(用含的代数式表示);
(3)将图①中的∠DOC绕顶点O顺时针旋转至图②的位置,探究∠AOC和∠DOE的度数之间的关系,写出你的结论,并说明理由;
旗杆、树和竹竿都垂直于地面且一字排列,在路灯下树和竹竿的影子的方位和长短如图所示.请根据图上的信息标出灯泡的位置(用点P表示),再作出旗杆的影子(用字母表示).(不写作法,保留作图痕迹)