题目内容
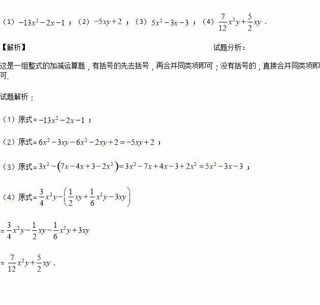
化简
(1) (2)
(3) (4)
“若a>0,b>0,则ab>0”的逆命题是___,该逆命题是一个______命题(填“真”或“假”)
如图1,一张△ABC纸片,点M、N分别是AC、BC上两点.(均只需写出结论即可)
(1)若沿直线MN折叠,使C点落在BN上,则∠AMC′与∠ACB的数量关系是 .
(2)若折成图2的形状,猜想∠AMC′、∠BNC′和∠ACB的数量关系是 .
(3)若折成图3的形状,猜想∠AMC′、∠BNC′和∠ACB的数量关系是 .
(4)将上述问题推广,如图4,将四边形ABCD纸片沿MN折叠,使点C、D落在四边形ABNM的内部时,∠AMD′+∠BNC′与∠C、∠D之间的数量关系是 .
下列长度的各组线段能组成三角形的是( )
A. 3、8、5; B. 12、5、6;
C. 5、5、10; D. 15、10、7.
某地电话拨号入网有两种收费方式,用户可以任选其一:
(A)计时制:0.05元/分;
(B)包月制:50元/月(限一部个人住宅电话上网).
此外,每一种上网方式都得加收通信费0.02元/分.
(1)某用户某月上网的时间为分,请你用含的代数式分别写出两种收费方式下该用户应该支付的费用;
(2)如果某用户一个月内上网的时间为20小时,你认为采用哪种方式较为合算?
如果代数式的值是5,那么代数式的值等于 .
若单项式与是同类项,则的值是( )
A. 2 B. 3 C. 4 D. 2或3
-64的立方根是_____.点A(0,3)向右平移2个单位长度后所得的点A′的坐标为_____.
某商场2017年7月份的营业额为160万元,9月份的营业额达到250万元,7月份到9月份的月平均增长率相等.
(1)求7月份到9月份的月平均增长率?
(2)按照此增长速率,10月份的营业额预计达到多少?