题目内容
计算:
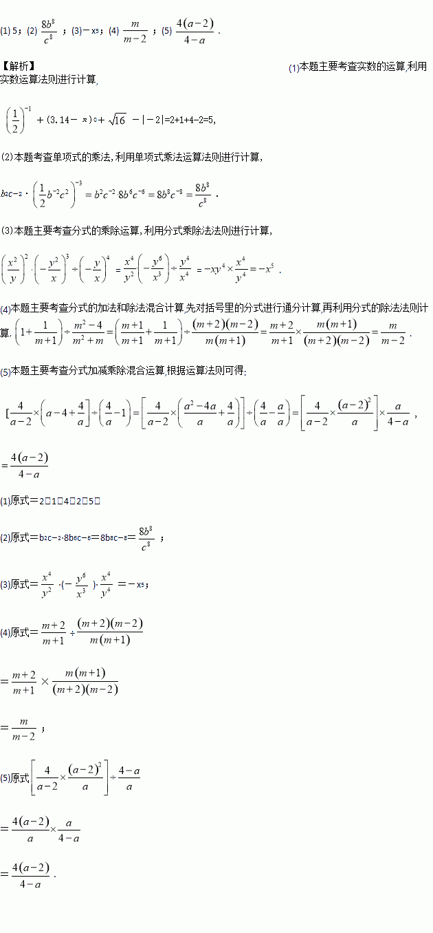
(1) +(3.14-π)0+-|-2|; (2)b2c-2·;
(3) ; (4) ;
(5) .
如图有一圆锥形粮堆,其主视图是边长为6m的正三形ABC。
(1)求该圆锥形粮堆的侧面积。
(2)母线AC的中点P处有一老鼠正在偷吃粮食,小猫从B处沿圆锥表面去偷袭老鼠,求小猫经过的最短路程。 (结果不取近似数)
在平静的湖面上,有一支红莲,高出水面1米,阵风吹来,红莲被吹到一边,花朵齐及水面,已知红莲移动的水平距离为2米,问这里水深是( )
A. 1米 B. 1.5米 C. 2米 D. 2.5米
已知关于x的分式方程.
(1)若方程的增根为x=2,求a的值;
(2)若方程有增根,求a的值;
(3)若方程无解,求a的值.
观察下列等式:
=1-, =-, =-.
将以上三个等式的两边分别相加,得:
++=1-+-+-=1-=.
(1)直接写出计算结果:
+++…+=________.
(2)仿照=1-, =-, =-的形式,猜想并写出: =________.
(3)解方程: .
当=____________时, 的值互为倒数.
已知a2-3a+1=0,则分式的值是( )
A. 3 B. C. 7 D.
4的平方根为( ).
A. 2 B. ±2 C. 4 D. ±4
在抛物线y=ax2-2ax-3a上有A(-0.5,y1)、B(2,y2)和C(3,y3)三点,若抛物线与y轴的交点在正半轴上,则y1、y2和y3的大小关系为( )
A. y3<y1<y2 B. y3<y2<y1 C. y2<y1<y3 D. y1<y2<y3