题目内容
如图,直线y=-x-1与抛物线y=ax2+bx-4都经过点A(-1,0)、C(3,-4).(1)求抛物线的解析式;
(2)动点P在线段AC上,过点P作x轴的垂线与抛物线相交于点E,求线段PE长度的最大值;
(3)当线段PE的长度取得最大值时,在抛物线上是否存在点Q,使△PCQ是以PC为直角边的直角三角形?若存在,请求出Q点的坐标;若不存在.请说明理由.
【答案】分析:(1)已知抛物线图象上的两点坐标,可将其代入抛物线的解析式中,通过联立方程组即可求得待定系数的值.
(2)首先要弄清的是PE的长,实际是直线AC与抛物线函数值的差,可设出P点横坐标,根据直线AC和抛物线的解析式表示出P、E的纵坐标,进而得到关于PE与P点横坐标的函数关系式,根据函数的性质即可求出PE的最大值.
(3)此题要分作两种情况考虑:
①Rt△PCQ以P为直角顶点,根据直线AC的解析式,可求得直线PQ的解析式y=kx+b中k=1,已知了点P的坐标,即可求得直线PQ的解析式,联立抛物线的解析式,可求得Q点的坐标;
②当Rt△PCQ以C为直角顶点时,方法同上.
解答:解:(1)∵A(-1,0)、C(3,-4)在抛物线y=ax2+bx-4上,
∴
,
∴a=1,b=-3,
∴y=x2-3x-4.
(2)设动点P的坐标为(m,-m-1),则E点的坐标为(m,m2-3m-4),
∴PE=(-m-1)-(m2-3m-4),
=-m2+2m+3,
=-(m-1)2+4,
∵PE>0,
∴当m=1时,线段PE最大且为4.
(3)假设存在符合条件的Q点;
当线段PE最大时动点P的坐标为(1,-2),
①当PQ⊥PC时,
∵直线PC的解析式为:y=-x-1
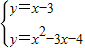
∴直线PQ的解析式可设为:y=x+b,
则有:-2=1+b,b=-3;
∴直线PQ的方程为y=x-3,
联立
得点Q的坐标为:(2+
,
-1),(2-
,-
-1).
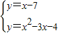
②当CQ⊥PC时,同理可求得直线CQ的解析式为y=x-7;
联立抛物线的解析式得:
,
解得
,
(舍去),
∴Q(1,-6);
综上所述,符合条件的Q点共有3个,坐标为:Q1(2+
,
-1),Q2(2-
,-
-1),Q3(1,-6).
点评:此题主要考查了二次函数解析式的确定、二次函数最值的应用以及直角三角形的判定、函数图象交点坐标的求法等知识;需要注意的是(3)题中,点P、C都有可能是直角顶点,要分类讨论,以免漏解.
(2)首先要弄清的是PE的长,实际是直线AC与抛物线函数值的差,可设出P点横坐标,根据直线AC和抛物线的解析式表示出P、E的纵坐标,进而得到关于PE与P点横坐标的函数关系式,根据函数的性质即可求出PE的最大值.
(3)此题要分作两种情况考虑:
①Rt△PCQ以P为直角顶点,根据直线AC的解析式,可求得直线PQ的解析式y=kx+b中k=1,已知了点P的坐标,即可求得直线PQ的解析式,联立抛物线的解析式,可求得Q点的坐标;
②当Rt△PCQ以C为直角顶点时,方法同上.
解答:解:(1)∵A(-1,0)、C(3,-4)在抛物线y=ax2+bx-4上,
∴
∴a=1,b=-3,
∴y=x2-3x-4.
(2)设动点P的坐标为(m,-m-1),则E点的坐标为(m,m2-3m-4),
∴PE=(-m-1)-(m2-3m-4),
=-m2+2m+3,
=-(m-1)2+4,
∵PE>0,
∴当m=1时,线段PE最大且为4.
(3)假设存在符合条件的Q点;
当线段PE最大时动点P的坐标为(1,-2),
①当PQ⊥PC时,
∵直线PC的解析式为:y=-x-1
∴直线PQ的解析式可设为:y=x+b,
则有:-2=1+b,b=-3;
∴直线PQ的方程为y=x-3,
联立
得点Q的坐标为:(2+
②当CQ⊥PC时,同理可求得直线CQ的解析式为y=x-7;
联立抛物线的解析式得:
解得
∴Q(1,-6);
综上所述,符合条件的Q点共有3个,坐标为:Q1(2+
点评:此题主要考查了二次函数解析式的确定、二次函数最值的应用以及直角三角形的判定、函数图象交点坐标的求法等知识;需要注意的是(3)题中,点P、C都有可能是直角顶点,要分类讨论,以免漏解.
练习册系列答案
相关题目