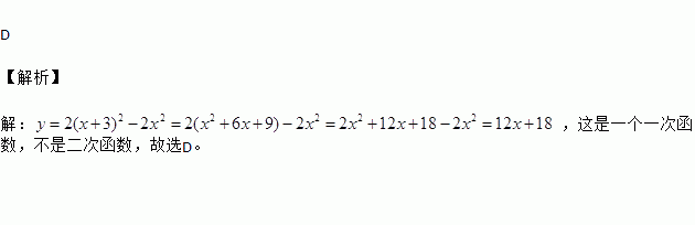
题目内容

下列函数不属于二次函数的是(   )

A. y=(x﹣1)(x+2)           B. y= (x+1)2           C. y=1﹣ x2           D. y=2(x+3)2﹣2x2

练习册系列答案
相关题目

违法和不良信息举报电话:027-86699610 举报邮箱:58377363@163.com

精英家教网