题目内容
在□中,是的中点,连接并延长交的延长线于点.
(1)求证:;
(2)连接,若,求证:.
当x__时,式子3x﹣5的值大于5x+3的值.
已知等腰三角形的两条边长为1和,则这个三角形的周长为( )
A. 2+ B. 1+2
C. 2+2或1+2 D. 1+
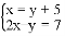
方程组的解满足方程x+y+a=0,那么a的值是( )
A. 0 B. -2 C. 1 D. -1
用代入法解方程组:
(1) (2)
如图,在平行四边形ABCD中,∠B=30°,AB=AC,O是两条对角线的交点,过点O作AC的垂线分别交边AD,BC于点E,F;点M是边AB的一个三等分点。则△AOE与△BMF的面积比为_________.
(2017山东省威海市)如图,在?ABCD中,∠DAB的平分线交CD于点E,交BC的延长线于点G,∠ABC的平分线交CD于点F,交AD的延长线于点H,AG与BH交于点O,连接BE,下列结论错误的是( )
A. BO=OH B. DF=CE C. DH=CG D. AB=AE
若一次函数的图象如图所示,点在函数图象上,则关于的不等式的解集是__________.
如图,三个边长均为的正方形重叠在一起,,是其中两个正方形的中心,则阴影部分的面积是___________.