题目内容
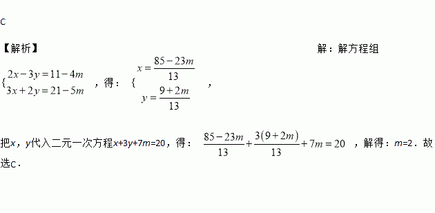
关于x、y的方程组的解也是二元一次方程x+3y+7m=20的解,则m的值是( )
A. 0 B. 1 C. 2 D.
已知矩形ABCD,若它的宽扩大2倍,且它的长缩小四分之一,那么新矩形的面积等于原矩形ABCD面积的____________.
已知和都是ax+by=7的解,则a=____,b=_____.
根据图中提供的信息,可知一个杯子的价格是( )
A. 51元 B. 35元 C. 8元 D. 7.5元
如果方程组的解是那么点p(a,b)在第____象限.
雅西高速公路于2012年4月29日正式通车,西昌到成都全长420千米,一辆小汽车和一辆客车同时从西昌、成都两地相向开出,经过2.5小时相遇.相遇时,小汽车比客车多行驶70千米,设小汽车和客车的平均速度分别为x千米/时和y千米/时,则下列方程组正确的是( ).
A. B. C. D.
甲、乙两人同解方程组 时,甲看错了方程①中的a,解得,乙看错了②中的b, ,试求的值.
已知是方程组的解,则a+b+c的值是( )
A. 3 B. 2 C. 1 D. 无法确定
下列关系式中,是反比例函数的是( )